无源晶振:只是“两根脚”的小元件,到底有多重要?
在画电路、选器件的时候,你是不是也想过:看起来只是个小金属罐或小黑块的无源晶振,为什么在单片机、网络设备里几乎“无处不在”?它和有源晶振到底有什么差别?又该怎么选、怎么用才稳?
一、无源晶振到底是什么?
简单说,无源晶振 = 石英晶体谐振器。
它本身不会主动振荡,只是一个频率非常稳定的谐振元件。
一般只有 2 个引脚,外形可能是金属封装(HC-49、圆柱形等),也可能是贴片 SMD 小封装。
真正让它“振起来”的,是单片机、时钟芯片内部或外部搭建的振荡电路。
和很多人口中的“晶振”不同,无源晶振只是“被动元件”,它需要外部电路提供放大和反馈,才能输出稳定时钟信号。
二、无源晶振的工作原理:为什么能“准”到 ppm 级?
1. 石英晶体的压电效应
无源晶振使用的是石英晶体。石英具有压电效应:
施加电压 → 晶体会产生微小机械形变
机械振动 → 会在电极上产生电压
当外界电路提供放大和反馈,在某个特定频率上满足振荡条件时,石英晶体就会以固有谐振频率开始稳定振荡。正是因为石英材料本身的机械特性非常稳定,这个频率可以做到:
频率精度:几十 ppm 甚至更好
温度漂移:在指定温度范围内变化较小
长期老化:频率随时间缓慢、可预期地变化
2. 与外部振荡电路的配合
无源晶振一般接在芯片的两只振荡脚之间,比如:
XTAL_IN / XTAL_OUT
OSC_IN / OSC_OUT
外部再配两颗负载电容到地(例如 18pF、22pF 等),共同构成一个 Pierce 振荡器结构。
无源晶振本体上标的“负载电容”(CL),就是希望配合外部电路时所“看到”的等效电容值,以确保:
振荡频率接近标称值
起振可靠、波形稳定

三、无源晶振与有源晶振的区别
1. 结构与功能
无源晶振:只有晶体本身 + 电极
本身不输出时钟,只提供谐振特性
必须依赖 MCU、时钟芯片内部的振荡放大器
有源晶振(时钟振荡器):内部已经集成
无源晶振 + 放大电路 + 稳压/温补等
只要供电,就能从输出脚直接得到数字时钟信号
2. 成本与灵活性
无源晶振成本更低,几乎是大部分低成本控制板的标配;
从频率、封装、负载电容等选项上,无源晶振的选择非常丰富,价格区间也多;
有源晶振成本更高一些,但在高速、低抖动的应用中更省心。
3. 典型使用场景
无源晶振适用:
单片机主时钟(8MHz、12MHz、16MHz、24MHz 等)
一般消费类电子、家电控制板、工业控制器
有源晶振适用:
千兆以太网、PCIe、SATA 等高速接口参考时钟
对抖动、频率稳定性要求更严苛的通信设备、网络设备
四、无源晶振的关键参数怎么看?
1. 标称频率
例:8MHz、12MHz、16MHz、25MHz……
要与芯片数据手册要求的振荡频率范围匹配
有些高速接口需要特定频率(如 25MHz、50MHz、125MHz 等),要按协议/芯片要求选
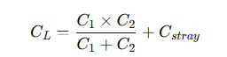
2. 负载电容(CL)
例:12pF、16pF、18pF、20pF……
这个值决定你在 PCB 上配多大的电容
一般公式:

其中 C1、C2 是两侧到地的电容,Cstray 是布线和引脚带来的寄生电容
如果负载电容选得不合适,会导致:
实际振荡频率偏高/偏低
起振困难,甚至不起振
3. 频率公差与温度特性
频率公差:如 ±20 ppm、±30 ppm(在 25℃ 时的出厂精度)
温度特性:在 -20℃~+70℃、-40℃~+85℃ 范围内,频率随温度变化的范围
对于一般 MCU 系统,几十 ppm 的精度已经足够;
对通信、计时要求高的应用,则需要更谨慎地看这两个指标。
4. 等效串联电阻(ESR)
ESR 代表无源晶振的等效损耗
芯片的数据手册一般会给出最大允许 ESR
如果晶振的 ESR 过大,振荡电路可能难以启动
五、无源晶振的常见应用场景
1. 单片机/MCU 主时钟
几乎所有常见单片机(如 51、AVR、STM32 等)都可以使用无源晶振作为系统主时钟。
优点:
成本低
数量需求大、供应稳定
配合芯片内部 PLL,还能倍频获得更高主频
2. 通信接口的时钟参考
如:
以太网 PHY 的 25MHz/50MHz 时钟
USB 全速/高速设备的参考时钟
UART、CAN、SPI 等波特率较敏感的场合
在这些应用中,无源晶振+内部振荡电路可以提供足够精度的时钟,确保通信可靠。
3. 消费电子与家电控制
电饭煲、洗衣机、空调控制板
电视、机顶盒、路由器等设备的控制和基础时钟
对这些产品来说,无源晶振兼顾成本和性能,是最常见的选择。
六、无源晶振的 PCB 设计与布局要点
无源晶振虽然只是一个小器件,但想要它“稳稳地振起来”,PCB 设计很关键。
1. 尽量靠近芯片振荡引脚
无源晶振与 MCU/时钟芯片之间的连线 越短越好
两颗负载电容也尽量贴近晶振和芯片脚
走线过长会引入额外寄生电容和干扰,影响起振与稳定性
2. 走线要避免穿越噪声源
不要让晶振走线靠近:
大电流电源线
开关电源、电机驱动、继电器等
走线层尽量有完整的接地平面做屏蔽,减小干扰
3. 接地与屏蔽
负载电容的地最好就近落到大地平面
对于高频或要求较高的设计,可以适当在晶振周围做地环,减少外界电磁干扰
4. 注意不要加多余的测试点电容
有些工程师喜欢在晶振脚上加测试点,方便示波器钩住看波形,但要注意:
测试点、探头本身都有电容
额外加载的电容可能让振荡条件发生变化,甚至在调试时“好好的,一把探头上去就停振了”
七、无源晶振常见问题与排查思路
1. 不起振
典型表现:
芯片不工作、无串口输出
示波器测晶振脚几乎没波形
排查步骤:
检查无源晶振脚是否真正焊好,有无虚焊;
核对选用的频率、负载电容是否符合芯片推荐值;
确认芯片是否启用了外部晶振模式(有些 MCU 需要配置寄存器);
检查周围是否有强干扰源,或者 PCB 走线过长。
2. 频率偏差大
若频率偏差影响到串口通讯、以太网等协议,重点检查:
负载电容是否选对
无源晶振的频率精度、温度范围是否满足需求
实际工作温度是否处于极限区间
3. 偶发性“死机”或不稳定
电源波动、强电干扰、静电冲击等,都可能通过晶振电路影响芯片的正常振荡;
无源晶振本身受机械冲击可能会受到损伤,严重时会出现间歇性失效。
这类问题往往需要结合:电源完整性、EMC 设计、环境测试综合分析。
八、无源晶振选型与应用的小建议
先看芯片手册要求
频率范围(最低/最高)
推荐的负载电容、驱动能力
最大 ESR 规格
根据应用场景选精度
普通家电、一般控制:±30ppm、±50ppm 通常足够
通信、定时精度较高的应用:适当提高精度要求,并确认温度特性
封装与供应链也要考虑
批量生产时,选择常见封装、主流品牌,更利于长期供货
贴片尺寸(如 3225、2520 等)要结合 PCB 面积与生产工艺
做几个频率与负载电容组合的备选方案
早期可以在样机上多准备几个无源晶振参数版本
验证不同温度、电压、负载下的起振可靠性
小结:一颗无源晶振,撑起整块板子的“心跳”
无源晶振外观看起来很简单,却往往是整块电路板的时间基准和节奏源:
它决定了 MCU 的运行频率、通信接口的准确性;
它影响系统的稳定性、抗干扰能力;
它的选型和 PCB 设计是否合理,直接关系到产品是否“好调、好量产”。
理解无源晶振的原理、参数与应用逻辑,不仅能帮你少踩很多坑,还能在选型、画板、排错时更有底气。